La Cadena de Abastecimiento ostenta muchas cualidades que hacen de ella un fenómeno complejo y complicado a la vez. Esto hace que su comportamiento adquiera dimensiones que aunque son fáciles de comprender grosso modo, son difíciles de caracterizar para cuantificar sus efectos y tomar decisiones acertadas. En respuesta a esto, existen muchísimas prácticas que están diseñadas (y también probadas) para hacer frente a estos comportamientos: una de ellas es la centralización.
La palabra misma debería darnos una buena idea acerca de qué se trata esta práctica, aunque hay que advertir pronto que más bien se trata de la decisión de centralizar o no, pues existen circunstancias en las que la centralización nula, o completa descentralización, sería la mejor de las decisiones a tomar. En general, y en lo que al alcance de este artículo respecta, hablaremos únicamente de centralización de productos y sus niveles de inventarios aunque en la práctica también existe centralización de información, de capacidad de servicios, de operaciones logísticas, etc.; temas que ocuparán nuevos artículos posteriores.
¿Por qué resulta útil la centralización?
Existen varias razones, pero casi todas pueden explicarse a través de dos: Costos y Variabilidad. En general, una decisión acertada de centralizar (o de descentralizar) inventarios para referencias específicas, familias de productos o incluso la totalidad de un portafolio de productos, puede llegar a representar enormes reducciones en costos y un mejor desempeño de la Supply Chain y su agilidad de respuesta ante variaciones inesperadas; ambas siendo unas de las principales metas de virtualmente todas las empresas.
¿Por qué no todos lo hacen?
Resulta sorprendente encontrar muchísimas compañías que por falta de claridad de sus verdaderas necesidades y capacidades, no han contemplado aún la centralización de productos como una alternativa para mejorar sus operaciones. Esta, desafortundamente, es una decisión que se requiere analizar dinámicas que no siempre son sencillas de comprender y mucho menos de medir haciendo que, aún teniendo conocimiento de los posibles beneficios que podría traer, muchos departamentos de Supply Chain y operaciones decidan dejarlo a un lado «para continuar trabajando en ello cuando haya más tiempo disponible…«.
Centralizar existencias y niveles de inventarios es un fenómeno complejo porque la realidad de las operaciones de la industria rara vez es tan simple como la teoría la define. Normalmente toma tiempo lograr reunir suficiente información para comprender y lograr describir el verdadero comportamiento subyacente de la demanda, los patrones de las operaciones logísticas y los niveles a los que normalmente la organización es capaz de responder. Pero, cuando se logra reunir y comprander dicha información, los resultados de una estrategia de centralización pueden ser enormemente beneficiosos para la organización y sus niveles operacionales.
Existen varias medidas cuantitativas que permiten comprender el comportamiento y las interacciones que existen entre diferentes puntos de demanda de un producto. Conocer estos detalles requiere suficiente información histórica, pero se trata de información y detalles que normalmente una empresa tiene en sus archivos recientes y con los que sus encargados ya están familiarizados. Mencionaremos estas medidas más adelante en este artículo, y aunque son conceptos un tanto técnicos, vale la pena repasarlos para usarlos como herramientas de análisis en este y muchos otros aspectos.
Principales beneficios.
Una estrategia de centralización contempla múltiples productos, para definir si existe una verdadera mejora en la centralización de los niveles de inventario de cada uno, mejorando varias cosas a la vez:
- Costos de operación de almacenes y manejo de inventarios
- Tiempos de respuesta a los clientes
- Menores niveles requeridos de inventarios de seguridad
- Costos financieros
- Costos de seguros
- Mayor estabilidad en las señales de demanda
- Menor esfuerzo administrativo
Lo que hay que tener en cuenta
Para analizar la decisión de centralizar o descentralizar los niveles de inventarios de un producto, es necesario contar con información diversa y suficiente. Normalmente se requiere contar con registros claros de los niveles de demanda y los costos relacionados con el mantenimiento de inventarios y distribución (probablemente incluyendo costos de transporte y reubicación de los productos). Esta información será la base sobre la cual los análisis posteriores se llevarán a cabo permitiendo comprender qué tan interdependiente es la demanda entre diferentes puntos (como ciudades, regiones de ventas, centros de distribución, etc.) y qué tan beneficioso sería adoptar una estrategia de centralización (o descentralización).
Los pasos siguientes están basados en comprender y cuantificar qué tan susceptible es la demanda de un producto en uno de los puntos respecto a los demás. Para esto, buena parte de la respuesta es aportada por dos análisis estadísticos: Covarianza y Correlación.
Correlación: Este concepto identifica si existe una reacción sistemática en los valores de una variable cuando otra variable también cambia. Su medición se hace por medio del cálculo del Coeficiente de Correlación, que cuantifica esta interdependencia y la ubica en una escala que va desde -1 hasta +1, donde los extremos indican una correlación perfecta que en el caso del valor negativo indica una correlación recíproca inversa, y en el valor positivo una correlación directa. En otras palabras, si calculamos el coeficiente de correlación para demanda de un producto específico en dos centros de distribución y el resultado nos indica -1 (coeficiente de correlación = 1), esto quiere decir que cada vez que la demanda sube en uno de los centros de distribución, sistemáticamente se verá reducida en la misma proporción en el otro centro de distribución.Es importante aclarar y siempre tener en cuenta que el hecho de que exista una correlación no implica directamente que existe causalidad. En el ejemplo anterior esto quiere decir que aunque haya evidencias de que cuando la demanda se incrementa en un centro de distribución disminuye en el otro, el aumento en uno no explica la disminución en el otro. En palabras muy simples: «se sabe que sucede pero no puede probarse sólo con esta información«.
- Covarianza: Por su parte, la covarianza analiza la dependencia que puede existir entre los cambios de una variable respecto a los cambios de otra variable. Sencillamente se trata de establecer y cuantificar qué tanto afecta una variable a otra cuando presenta cambios; en otras palabras, si cuando una variable presenta grandes cambios otra también presenta grandes cambios, existe una covarianza positiva. Por el contrario, si una variable presenta grandes cambios y la otra sólo pequeños cambios, se trata de una covarianza negativa.
Estos dos instrumentos analíticos están muy relacionados y sirven para analizar qué tan intrincadas es la relación entre los comportamientos de demanda de un producto en dos centros de almacenamiento, por ejemplo. Se recomienda hacer una revisión detallada de ellos para lograr un análisis que tenga sentido y que no lleve a decisiones erradas.
Variabilidad: el componente que complica todo.
La variabilidad está presente virtualmente en todo lo que nos rodea, y por supuesto los procesos industriales, los niveles de demanda y la agilidad con la que una empresa reacciona también son variables. Aún a pesar de lo fácil que la variabilidad puede encontrarse en nuestro entorno, manejarla y tenerla en cuenta no siempre puede hacerse de una manera tan directa como muchos quisiéramos, y en el caso específico de la centralización, la unión de diferentes variabilidades juega un papel fundamental y lleva a un cálculo correcto (o muy incorrecto) de los beneficios que obtendríamos con una u otra estrategia.
Especialmente, deberemos tener cuidado al momento de calcular la suma de variabilidades, pues sencillamente sumarlas o promediarlas no funcionará. Por ejemplo, si se sabe que la demanda de un producto específico llamado Producto A, tiene niveles promedio de 100 unidades por semana en el centro de distribución CD1 y de 125 unidades por semana en el centro de distribución CD2, y a su vez sabemos gracias a nuestros datos históricos que la desviación estándar de esos niveles de demanda es de 30 unidades en el CD1 y de 22 unidades en el CD2, calcular cuál sería la demanda promedio conjunta y la desviación estándar conjuntas sería de la siguiente manera:
- Demanda conjunta: realizar un promedio, esto es ( 100 u./sem + 125 u./sem ) /2 = 112.5 unidades por semana
- Desviación estándar conjunta: 302 + 222 = 1384 → raiz cuadrada de 1384 (o lo que es lo mismo 13841/2 ) = 37.21 unidades por semana.
El ejemplo anterior muestra los beneficios de la centralización y además ilustra el papel que la variabilidad juega en este tema: en lugar de contar con dos niveles de existencias para este producto en CD1 CD2 con un total de 225 unidades (100 en CD1 y 125 en CD2), y al mismo tiempo contar con exitencias de seguridad para hacer frente a variaciones de demanda promedio de 30 unidades en CD1 y 22 en CD2, podríamos centralizar los inventarios en una sola ubicación, haciendo posible que sencillamente contemos con un inventario promedio de 112 o 113 unidades (obviamente necesitaremos reabastecernos con mayor frecuencia) y contar con existencias de seguridad para hacer frente a una variación estándar de 37 o 38 unidades en lugar de las 52 unidades (30 y 22) del esquema anterior.
Los ahorros que generaría este nuevo esquema son muy atractivos aún después de incluir los costos administrativos de compras y abastecimiento con mayor frecuencia y los costos de transporte para suplir al CD2 desde el CD1 cuando así se requiera, ya que se mejoraron los siguientes costos:
- Menor costo de inventarios al tener menores niveles en existencias.
- Menor costo financiero al requerir menos dinero invertido en existencias.
- Menor costo de seguros al contar con menores existencias a ser aseguradas.
- Menor nivel de inventario de seguridad y todos los ahorros que ello implica.
- Menor costos administrativo para el CD2.
Como ya se hizo evidente, no es posible sumar o promediar directamente desviaciones estándar. Se necesita recurrir a su medida primordial, que es la Varianza, para poder usarlas en nuestros cálculos. Esto se debe a que, debido a razones que no discutiremos aquí, la manera correcta de sumar y computar medidas de variabilidad es hacerlo desde la Varianza y nunca desde la desviación estándar.
Ejemplo de la vida real.
Una empresa contempla la posibilidad de centralizar por pares un esquema inventarios para el producto A que se almacena en cuatro centros de almacenamiento, o sea pasar de almacenar unidades de este producto en cuatro puntos a sólo dos. Cada uno de los centros de almacenamiento tiene una demanda promedio de 100 unidades por semana, y todos tienen una desviación estándar de 25 unidades. Revisemos las diferencias instancias que podrían presentarse en esta situación:
Primero, si se determina que no existe correlación entre la demanda de los centros de almacenamiento para este producto específico, el cálculo es muy sencillo:
- Demanda total del Producto A = suma de la demanda en cada centro de almacenamiento = 100 + 100 + 100 + 100 = 400 unidades.
- Desviación estándar conjunta = 252 + 252 + 252 + 252 =2500; Raiz cuadrada de (2500) = 50 unidades por semana como desviación estándar conjunta.
Aunque, si se encuentra con que de hecho existe correlación entre la demanda de los diferentes centros de almacenamiento, los cálculos cambian y aunque conceptualmente se mantienen iguales, su aritmética se complica un poco:
- Demanda total del Producto A = suma de la demanda en cada centro de almacenamiento = 100 + 100 + 100 + 100 = 400 unidades.
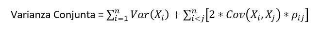
- Varianza Conjunta:

Esto, teniendo en cuenta que la letra ro
se refiere al coeficiente de correlación entre los centros de distribución, de manera pareada, o sea entre un centro de distribución y cada uno de los demás, o lo que es lo mismo, entre cualquier centro de distribución (i) y los demás centros (j). Los valores de estas correlaciones para este ejemplo son:
En realidad, lo normal es que luego de analizar si existen correlaciones entre los puntos a considerar para centralización se encuentre con alguna medida de correlación.
La centralización puede generar enormes ahorros y beneficios para las operaciones de muchas empresas, y aunque en la práctica su consideración y cálculo sean intrincados, vale la pena el esfuerzo para lograr excelentes niveles operacionales en nuestra Supply Chain y nuestro esquema de logística.


[…] riesgos. Otra de estas estrategias ya fue tratada en un artículo previo, donde hablábamos de la Centralización para reducir los efectos adversos de la Supply Chain, y así como estas, existen numerosas estrategias que se enfilan en esta dirección y buscan reducir […]
Me gustaMe gusta
Esto no necesariamente es una buena práctica en todos los tipos de cadenas, como las MRO.
Una de las tendencias en ciertas cadenas que manejan inventarios es pasar de una estrategia MTS a una MTO más que pensar en centralizar los inventarios. Pero en general es una buena práctica, que requiere un analista de inventarios con muy buen conocimiento matemático, financiero, capacidad analítica y poder de decisión. Muy poca gente hay con este perfil desafortunadamente. Buen artículo.
Me gustaMe gusta