Como lo mencionábamos en un artículo previo, los pronósticos de demanda podrían considerarse como «la brújula» en Supply Chain Management. En esa misma analogía, el monitoreo del proceso de planeación de demanda y su desempeño perfectamente podría contemplarse como «la corrección de la ruta de navegación» en una Supply Chain.
Pronosticar es delicado, en ello se basan decisiones de mucha importancia y de enormes riesgos económicos y estratégicos para una empresa. Pronosticar mal podría llevar a cualquier compañía a serios problemas como desabastecerse de productos terminados o materias primas, incurrir en un sobre-stock de insumos en detrimento de la integridad financiera y la liquidez de la compañía o a la pérdida de cuota en el mercado por una estrategia de marketing mal diseñada y mal pronosticada; todo esto con un agravante: el problema se propagará por toda la Supply Chain afectando a nuestros proveedores y a nuestros clientes.
Por estas, y por muchas otras razones, se convierte casi en un imperativo monitorear el desempeño del proceso de pronostico de demanda dentro de una empresa haciendo posible entender su comportamiento y realizar los ajustes necesarios que permitan minimizar los riesgos que un mal pronostico implican.
Que hacer?
En cada industria y en cada empresa debe tenerse en cuenta consideraciones y características inherentes a cada operación y cada negocio, pero existen métodos generales de monitoreo que pueden aplicarse y, en conjunción con mediciones e indicadores puntualmente diseñados para cada caso, llevar un monitoreo y control del proceso de pronósticos de demanda para que se mantenga dentro de parámetros aceptables en términos de exactitud, agilidad y despliegue a lo largo de la organización.
Revisión conceptual periódica.
Es recomendable realizar revisiones periódicas del proceso de pronósticos a nivel procedimental e integral, revisar la pertinencia de su configuración y la presencia de los diferentes actores que en el influyen. Algunos de los aspectos ser revisados, entre otros, incluyen los siguientes:
- Participación de las áreas y funciones adecuadas. ¿Hacen parte todos los cargos que deberían participar en el proceso?
- Pertinencia de la información. ¿Se tiene en cuenta la información necesaria? ¿Es esta información consistente? ¿Se esta dejando de lado información importante? ¿La información actualmente utilizada representa demoras u obstáculos? ¿Cómo solucionarlos?
- Agilidad del proceso. ¿Se puede volver más ágil, dinámico y económico el proceso sin comprometer su integridad?
Indicadores de desempeño.
Estos, aunque abarcan muchas metodologías e indicadores diferentes para distintas situaciones o necesidades de medición, puede comenzar a ser instaurados en la organización partiendo de los mas ampliamente usados: los indicadores de exactitud porcentual de un pronostico cuantitativo.
WMAPE – Weighted Mean Absolute Percentage Error. Presenta el porcentaje de error de un pronóstico respecto a la información de demanda real, asignando ponderaciones diferentes a los periodos más recientes para evaluar de una manera más dinámica e inteligente el ajuste del modelo de pronóstico empleado conforme avanza el tiempo. Por ejemplo, si se evalúa la exactitud de un pronóstico durante doce periodos, este indicador le dará más importancia a los errores más cercanos al presente y asignará menor importancia a la inexactitud más lejana en el pasado. Su medición va desde 0% hasta 100%, y está dada en términos de errores: WMAPE de 45% indica una exactitud ponderada de pronóstico de 55% (100%-WMAPE), , en otras palabras un WMAPE ideal es de 0%, indicando un pronóstico perfecto.
Este indicador es particularmente útil al momento de establecer niveles mínimos y niveles de seguridad de existencias en inventario.
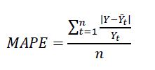
MAPE – Mean Absolute Percentage Error. Este indicador permite conocer el error promedio del modelo de pronóstico estudiado a lo largo de todos los periodos que con los que se cuente información. A diferencia del WMAPE, este indicador no pondera y promedia las diferencias entre pronóstico y realidad con igual importancia. Su medición va desde 0% hasta 100%, y está dada en términos de errores: MAPE de 45% indica una exactitud de pronóstico de 55% (100%-MAPE), en otras palabras un MAPE ideal es de 0% indicando un pronóstico perfecto.
MPE – Mean Percentage Error. El MPE no usa valores absolutos sin valores reales de los errores. En ese sentido, acumula errores de pronóstico que constituyan sub-estimaciones y sobre-estimaciones y nos ofrece una medida de qué tan sesgado está un modelo de pronóstico. Sus resultados pueden ir desde -100% hasta +100% y cuando un modelo de pronóstico exhibe un MPE consistentemente alejado de cero, debe evaluarse la necesidad de replantearlo pues el modelo puede estar peligrosamente sesgado. Un MPE ideal es de 0% evidenciando un pronóstico perfecto.
Es preciso agregar y recalcar el hecho de que estos son indicadores de exactitud de pronósticos cuantitativos generales y aplicables en casi cualquier caso. Existen muchos otros e incluso pueden ser desarrollados según las características y las necesidades de cada empresa. Estos indicadores exhiben resultados porcentuales, pero hay más indicadores que muestran la exactitud de pronóstico en otros términos, y que abarcan variables adicionales.
Señales de Rastreo.
En general las señales de rastreo, mejor conocidas en nuestro gremio como Tracking Signals, permiten monitorear los valores de exactitud de los indicadores de desempeño (como el MAPE y el MPE) para alertarnos cuando se salgan de los valores límite de operación previamente establecidos. Por ejemplo, podemos definir valores limite error de ±10% de exactitud de pronostico para una línea especifica de producto y establecer una señal de rastreo que evalúe la exactitud cada vez que se obtiene nueva información real de demanda. Para cuando la exactitud del pronóstico se salga de los límites establecidos, la señal nos alertará para comenzar a investigar la necesidad de modificar los parámetros de ajuste del modelo de pronóstico o incluso la necesidad de crear un nuevo modelo matemático más apropiado.
Las señales de rastreo pueden ser construidas sobre herramientas sencillas como hojas de cálculo, recurrir a soluciones mas sofisticadas ya integradas o como solicitar un «customization» o «development» en las herramientas ERP, CRM o BI con las la empresa cuente , o alternativamente usar software especializado como Forecast Pro, Autobox, SAS u otros. Si es necesario, la señal de rastreo puede llevarse de forma manual mientras el proceso corporativo de pronóstico de demanda se consolida dentro de la organización y se cuentan con los recursos tecnológicos para llevarla a otro nivel.
Jorge Luis Botero B.



[…] Monitoreo: la clave de la planeación de demanda. […]
Me gustaMe gusta